昨天跟一位初中一线老师聊天,谈起初中孩子是否会发生洗牌现象 , 他的回答是肯定的 。他给了一个最典型的案例:他们班一个孩子,小升初语数外三门课程总分为260+ , 升入初一后,这个孩子异常用功,初一(上)和初一(下),两次期末考试在年级都是名列前茅的水准 。考过了很多小升初考分在280+,甚至290+的孩子 。

文章插图
孩子刚上完初一,以他们班为例,小升初280+的升入初一后如何呢?初一(上)这些孩子的优势基本还能延续,但到了初一(下),这些孩子的优势渐渐就不太明显了 。有几个小升初考分270+的在初一(下)的期末考试中 , 都冲到了非常靠前的位置 。
这说明了什么呢?小学的成绩优势不会自动延续到初中,同样,小学的成绩劣势也如此,不会自动延续 。任何一个阶段都会有重新洗牌现象,前提是学习态度要足够端正,学习要足够努力,学习方法正确恰当,家长孩子积极上心,成绩逆转就是很容易的事 。

文章插图
那么 , 如何实现成绩逆转呢?我觉得主要抓住以下几点:
第一,寒暑假很关键,利用寒暑假进行知识上的温故而知新,包括针对旧知识薄弱点的夯实和巩固,针对新知识的提前预习和熟悉 。
第二,学习方法很重要 。在中国应试教育体制内,摸索应试教育的套路 , 探索事半功倍的学习方法 , 帮助孩子寻求应试教育的破解之道很关键 。这个环节包括学习技巧,参考书的选择,考试应对 , 有效的时间管理等 。关于这一点,有兴趣的家长可参看我的“家有初中生”专栏,都是在教育孩子的过程中摸索出来的实战经验,很多家长借鉴后评价都比较有效正面 。

文章插图
第三,心态调整好很重要 。在培养孩子的过程中,家长要谨记:“心急吃不了热豆腐”,家长越焦虑,越不可能培养出一个优秀的孩子 。家长心态平和,懂得肯定和赞美孩子,给孩子信心、支持和陪伴,是培养优秀孩子的第一步 。
我自己培养孩子的心得体会,以上三点最重要 , 以上三点抓住了,孩子一般就不会太差 。
供参考 。
80%的小六毕业生升入初中难以适应初中的学习 。不管小学成绩如何?初一都要有归零的心态 。我是王老师,专注于小学数学,很高兴为您答疑解惑!分享解题策略,推广趣味数学,提供家庭辅导建议,欢迎您的关注!
学习是要行动起来的,不是靠担心出来的 。这个暑假,就在即时,行动起来吧!复习小学数学知识,提前预习初中上册的内容 。注意学习方式 , 93分不代表有自主学习能力,应该以自学为主 , 不理解的笔记下来带到课堂上 。以下详解 , 供您参考!
六升七数学学习计划
暑假时间较长 , 不抓紧很容易放羊,更甚者沉迷于手机游戏之中,所以不能懈怠 。作为小初衔接最重要的阶段,比的是适应能力 。一定要做好初中数学和小学数学的知识衔接,建立新知识和旧知识之间的联系 。同时也要注意学习方法的转变 。初中数学更加注重数学概念的理解以及总结能力,提前预习,知道每个单元大致讲什么,这是最基本的 。以下按复习和预习两部分介绍 。
① 复习~温故方能知新
→ 计算与简算
复习分数,小数四则混合运算及简算定律 。要点是善于进行分数小数互化,保证100%正确率基础上提高运算灵活性,也是衔接重点考察基础内容 。
→ 方程思想运用
重点复习解方程以及多用方程的思想解应用题,要基础一些稍复杂的题型,比如分数方程,两边还有未知数的方程 。比如一些复杂行程问题的方程解法 。详细可关注王老师小升初真题巧解内容 。
方程练习题
→ 典型数量关系应用题
分数、百分数应用题,工程问题,行程问题等,最好采用算术方法和方程两种解题方法 。工程问题和行程问题数量关系核心还是很类似,运用比例关系可以巧妙解题 。
② 预习部分~概念需要练习来巩固 。
有理数重点内容:正数与负数,有理数分类,数轴概念,数轴与有理数的关系,相反数,多重符号的化简,绝对值相关 , 有理数四则混合运算(重点考核),乘方及科学计数法 。
整式重点内容:单项式,多项式,整式概念的理解 。同类项概念 。详细内容文末附重点复习参考资料 。要通过练习来巩固对于概念的理解 。以上!
欢迎关注王老师头条号及尚可网
学习更多好玩有趣的数学学习方法
附:七年级上册数学预习内容及检测练习 。
有一个家长提了一个这样的问题:孩子六年级期末考试平均分才93分,下半年初一学习能跟的得上去吗?很担心?
孩子几门功课平均分93分(满分100),这属于中等偏上的成绩 。而且每门功课只扣了几分 。失误率很低,孩子的潜力还是很大的 。如果保持这样的成绩再略有进步,就可以了 。

文章插图
如果家长朋友担心 , 就不妨把六年级的各科的课本拿出来进行复习,暑假有两个月时间,用20天时间来进行复习 。然后再让孩子做几套六年级的试卷看看 。
把六年级的功课复习好了 。再找来七年级的各科课本(只选择主课也行),买一些习题(带答案的 , 学生做了之后可以对照答案),先进行预习 , 然后做一些习题 。六年级毕业,已经具备了一定的预习能力 。用40天时间预习 。不用预习太多的功课,这只是一个小升初的预习衔接,预习一到两个单元即可 。然后通过巩固练习 。把自己错的,用笔圈一下 , 可以到时候老师讲课的时候着重听一下 。

文章插图
暑假,当然是以玩为主 。上面说的20天复习和40天预习 , 都是在玩之余进行的 。家长可以陪孩子去处转转,看看祖国的大好河山 。劳逸结合吗,已经小学毕业了,是时候行万里路了 。
除了看书学习,外出旅游 。也可以让孩子参加夏令营,即可玩,也可以培养孩子与人交往的能力 。读万卷书、行万里路、阅人无数(与人交际)这都是家长可以让孩子做的 。当然 , 孩子千万不能沉迷于手机,爱上手机,就会让读书、旅游、交际大打折扣 。

文章插图
建议家长,没有必要让孩子补课,让孩子自己把握时间 , 劳逸结合,让孩子暑假养成良好的自律能力 。凡事多对孩子鼓励,让孩子制定暑假计划 。严格按照计划规范自己的暑假,千万不能把暑假荒废过去 。“学霸不可怕,就怕学霸过暑假”,所以,作为准学霸,暑假正式要和别的孩子拉开距离的最佳时间 。
从成绩来看,还算是一个中等的成绩 , 初中的成绩还得取决于学生之后自身的学习状态六年级的孩子期末平均成绩93分 , 这算得上是一个中等的成绩,虽然不算是一个很好的成绩 , 但基础方面没有什么问题 , 以这样的基础进入初中的学习,是没有多大的问题的 。

文章插图
很多家长在孩子即将进入小升初的时候,都或多或少有些焦躁 , 怕孩子进入初中之后不能尽快适应初中的学习生活,在学习上被落下 。家长有这样的担心,也是很正常的 , 毕竟初中的学习任务和压力比小学大了很多 , 在身边也有很多在小学时还不错的学生到了初中之后就逐步落伍了 。但是也不必过于担心 , 从成绩来看,孩子的基础方面没有问题 , 初中之后的成绩将会怎样发展,还得取决于学生自身的学习状态和状况 。
学习基本上是一件按部就班的事情,一个学生只要在学习的每一个阶段把基础打好,能养成良好的学习方法和习惯,在整个学习中只要不太偏离正常的轨道,就基本上能一直跟得上 。如果希望能有更大的突破和提升,那么肯定就需要花费更多的功夫和精力,要做到顶尖 , 肯定还是需要有那么一点点天赋在里面,但对于大部分学生来说 , 只管努力既可 。
在小升初的假期,需要结合各个科目不同的特征,做好复习和预习在小升初的这个假期,规定性的学习任务不是很大,但是在学习方面仍然不可放松,毕竟又将进入一个新的学习阶段,会面临着更大的压力和挑战,所以在这个假期还是需要为初中的学习生活做好准备,以便开学能尽快适应新的学习和生活 。在各个科目的学习上需要结合科目的特征做好安排和规划 。
1.语文需要注重阅读和积累
语文看似简单,但想拿高分着实不容易,需要具备扎实的基础、较宽的知识面以及良好的阅读理解能力,在现在初中的语文中,阅读所占的比重越来越大,尤其是古诗文和文言文,很多同学都感到很有压力,所以在这个假期可以先在阅读方面着手,多去读一些经典书目,对初中需要背诵的文言文和古诗文可以提前去预习和熟读,争取能背下来 。阅读理解能力不仅与语文相关 , 别的科目的学习对理解能力也有很高的要求,所以为了提升整体的学习力 , 必须要尽早在语文阅读方面下功夫,一般来说 , 从小都喜欢看书的孩子 , 成绩都不会太差 。
2.英语需要在单词和课文上下功夫
到了初中,英语的进度和难度有了很大的提升,很多学生在学习中会感受到越来越大的压力,英语的学习一词汇为基础,然后就是句子方面的 。在这个假期可以给自己定一个目标 , 背诵初中几本书的单词,熟读甚至背下一本书的课文 , 如果在假期能认真完成这两项任务 , 相信在进入初中后英语会一直保持一个非常不错的水平,然后就可以把时间和精力向自己比较薄弱和难度大一些的科目上倾斜了 。
3.数学需要在基础运算方面下功夫
数学是很多同学比较头疼的科目,在辅导学生的过程中发现,有部分同学无论怎样就是把数学给学不懂 , 小学数学不咋样,初中数学更是一塌糊涂 。
学习数学关键是什么呢?运算和理解,理解对学生的思维有比较高的要求,但运算就相对容易些,掌握基本的运算法则,然后去练习,提升熟练度既可 。这是数学学习的关键,也是核心 , 数学成绩不理想的学生大部分在运算方面都存在些问题 。在这个假期,想要在数学方面有所提升和突破,那就必须要在运算方面下功夫了 。
小学的分小混合运算是基础,需要掌握分小互化的方法,基本的运算顺序和方法,这些必须要熟练掌握,小学毕业的学生可以在别的方面薄弱些,但必须要在运算方面下功夫,如果基础的分小混合运算都存在问题,那么初中的数学的学习必然会困难重重,所以首先就必须腰多去练习分小混合运算,提升做题的熟练度,从准确率和速度两方面入手去提升和改善 。

文章插图

文章插图

文章插图
除了复习分小混合运算外,可以先预习一部分新初一的内容,个人建议还是从有理数的基本概念和运算入手,这是出自数学运算的基?。⒃谛⊙Х中≡怂愕幕≈? ,但又引入可符号,计算起来需要考虑的更多,也更容易出错 , 尤其是有理数的加减运算,甚至个别学生到了初三还没有完全弄懂 , 在假期可以先去预习这部分内容 , 然后去做题,在做题的过程中加深对知识点的理解和掌握程度,提升运算能力 。

文章插图

文章插图

文章插图

文章插图

文章插图

文章插图

文章插图

文章插图

文章插图

文章插图

文章插图

文章插图

文章插图

文章插图
分享一些练习题,希望能有所帮助 。
家长不必担心,但也不要放松警惕 , 合理安排好孩子的暑假生活,帮孩子顺利完成小学到初中的过渡 。
六年级期末平均分93,已经很好啦,这个分数至少说明三个方面:
1.孩子智力没有问题 。
2.小学阶段基础比较扎实 。
3.学习习惯较好 。
很多孩子刚上初中可能会不适应,有不少小学优秀的孩子初中成绩下降的厉害,也有不少原来小学学习很一般的到初中成绩飙升 。这些都很正常 。关键看孩子自己是否努力,另外看家长是否能够配合学校老师的教育,严格要求,形成家校合力 。
建议这个暑假不要太纵容孩子,可以和孩子一起制定合理的假期作息计划,并严格执行 。我想孩子的暑假计划里应该包括这几方面:
1.安排一点旅行、参观、体验等活动 。毕竟是假期适当放松一点,增加些孩子的阅历和体验 。
2.每天体育锻炼不少于1小时 。运动项目根据孩子的喜好 , 家长一起更好 。要知道身体是革命的本钱,中学阶段不仅是智力的比拼,更是体力和意志力的比拼 。
3.阅读经典名著,最好每天能拿出点时间背一点经典名篇和古诗词 。多读书,读好书 , 多积累,不会错的 。现在高考改革 , 语文的难度在增加,而且阅读理解能力是学习其他学科的基础 。
4.简单预习一下初中课程 。孩子的自学能力较好的话,可以让他自己学习 , 家长适当监控,可以定期不定期的让他给你讲讲预习的内容,看看他能不能讲清楚 。年级越高越需要孩子的自学能力 , 慢慢有意识的去培养 。
5.每天适当做些基本功训练,比如数学的计算,英语单词和课文的朗读,语文的朗读和背诵 。以数学为例,初一上学期学的是有理数(比小学多个负数计算和乘方)、整式和整式加减(多几个概念)、一元一次方程(小学学过)和几何初步(小学基本上都学过),看其实没比小学多多少新知识 , 就是复习小学知识的基础上拓展和延伸了一点 。考试拔高题也就是小学奥数的水平,所以小学学过的基本功不能废 。英语和语文也是同样道理 。
总之,凡事预则立,不预则废 。好好准备,做好自己该做的事情,没啥好担心的 。
平均分93分都在担心能不能跟上,那平均分六七十的都怎么过?。≌绞跎弦厥用淮?,但战略上不必太保守 , 请相信你孩子的潜在能力!
93分这个水平,也许谈不上很尖 , 但至少也在中上,证明小学阶段的基础还是可以的 。有的时候 , 这种量化的衡量也是有误差的,93分的水平或许并不比95分的差 。象数学,小学数学很多是考核学生的计算能力,熟练程度,真正思维能力反映得并不多 。
很多孩子小学分数高,是因为父母抓得紧,每天盯着读这个、背那个、做这个教辅书 , 上各种补习班 。这种纯靠外力推上去的高分 , 到初中往往就显了原形 。
小升初的关键是解决“主动学习”的问题 。老师和学生,一个教一个学,仿佛打棒球的投手与捕手 , 投手的技术固然重要,但是捕手也必须密切配合 , 主动地去接 。这就是为什么同一班老师教着,学生的学习效果却大不相同 。
而暑假是最能看出孩子学习是否主动,也正是培养主动性的时机 。我并不主张要提前学初一的知识 , 上不上衔接班对成绩影响不大 。
让孩子自己列出暑假学习计划,每天不少于3小时左右的学习时间 。譬如复习小学知识,做一些习题;阅读课外书,写读书笔记或手帐;英语读读背背;学习一些拓展知识......
只要孩子能有自主学习的好习惯,学习的时候能专注、勤思考 , 那么以目前的底子,到初中是不怕的!
我是倾城小团圆,70后985理科生,初中生家长 。如果您喜欢我的文字和观点,请关注我共同探讨家庭教育问题 。
九十多分还担心!那九十以下的就不用去上学了 。
这个我认为不用担心 。小学的成绩只要能考90分以上 , 说明他理解掌握知识是完全没有问题的 。差别只不过是细心程度上和专注力上的差别 。当然也不能不管,以后要督促加强专注力的训练 。担心是完全没有必要的 。但是的确初中和小学的学习完全是两个概念,孩子可能会一下子不适应,这个是正常的 。的确是要有归零的心态,从头开始,一段时间以后就没问题了 。
怎么就只知道天天让孩子学习我觉得让他自己选择自己喜欢的东西学下去他成绩不好我也不怪他
你的娃要是都不学习还考93 , 你就完全可以不担心,看紧点就是学霸 。
。孩子六年级期末考试平均分才93分 , 下半年初一学习能跟得上去吗?很担心 。“凡事预则立,不欲则废 。”只要做好准备,用实际行动来充实自己 , 心里就会越有底气,着急和害怕是因为心里没底,不知道具体该做些什么,从哪儿使劲儿,下面我就从几个方面来具体说一下小升初应该做好哪些准备工作,家长如何帮助和陪伴孩子平稳度过 。
第一,小学和初中,最大的区别就是学习方法和学习习惯不同 。
这一点在思想意识上要特别引起注意 。小学期间孩子学习可以说是被动型的,老师跟的比较紧 , 一个章节讲完 , 老师反复的考,反复的练 。没有跟得上学校的节奏的,老师一般都要求家长配合,回去再巩固复习检查抽查 。考试之前老师也领着大家逐一复习 。
初中阶段要把这种被动学习变为主动学习 , 凡是老师讲过的内容都要求自己回去复习巩固 。如果还是等着老师来监督督促,那么将越欠越多,最后等来的就是不及格 。
有很多的家长都担心孩子学不会 , 听不明白,其实根本上是没有掌握学习的方法,没有养成良好的学习习惯 。那么什么才是良好的学习方法呢?就是要日清日结,每次老师讲完一个章节,每个科目 , 都要及时的掌握和巩固复习,不能等积累的太多了,在听不懂的时候再去补,那个时候就已经晚了 。所谓小洞不补,大洞吃苦,窟窿比较小的时候及时补救,还有很多的方法能够弥补 , 如果窟窿大了,就很难补了,因为你欠的,只是欠的内容越来越多,即便是请专门1对1的老师给你补,也需要有一个过程 , 因为你落的知识,也不是一天两天落下的,所以补的这个过程将更难 。
第二,必须勤奋努力 。
小学期间基础知识文化课的只是章节都比较安排的比较比较少 , 比较慢,就是反应灵活,稍微下点心思的孩子 , 仅仅在老师讲课的时候,认真的听讲 , 甚至有的孩子都不用太认真的听,学习成绩都能过得去 。但是这并不是一件好事儿,这就给一些孩子造成了一种假象,他就认为我不用怎么努力 , 下功夫学习,我就能取得一个好的成绩 , 如果抱着这种思想上了初中继续这样的话,那么你会输得很惨 。因为初中不仅学习的节奏快,知识点也非常的多大意的孩子往往顾此失彼 。
就拿英语来说,小学期间需要掌握的词汇量比较少,每节课三五个英语单词,一般的孩子都能掌握,但是上了初中要求掌握的词汇量多,必须要下一定的功夫才能记住 , 而且掌握英语的词汇量都需要反复一个积累的过程,如果就简单的看一两眼,那么过两天肯定又会忘了,其他的科目也是一样 , 所以初中阶段的学习都是要下一番功夫的 。都是要一步一个脚印 , 踏踏实实的打基础 。
【孩子六年级期末考试平均分才93分,下半年初一学习能跟的得上去吗很担心】第三,家长尽可能和孩子多交流 。
初中阶段政治孩子的青春期,孩子认为自己长大了,可以独立了,但是他们的很多想法,还是比较片面缺乏周全的考虑,但是又听不进去家长的劝告 , 如果这个时候跟孩子硬来的话 , 往往适得其反 , 所以平时在生活当中我们就尽可能的跟孩子多交流,注意他的思想,一时的动向,发现有问题的时候及时引导 。如果平时跟他沟通的少 , 都不知道他的想法,那么就要提高警惕了 。
总结,在当前的教育情况下,当前的社会大多数的人都比较重视成绩,其实把孩子培养成德智体美劳全面发展的人才,才应该是我们的目标 。所以把孩子培养成一个视野开阔,心胸宽广 , 身体健康,我认为这个才是重要的 , 至于学习的习惯,在小学期间容易培养 。让孩子坚持一两项兴趣爱好,也许以后在某个行业,他也是一个佼佼者 。
欢迎大家和我一起讨论和交流孩子的学习教育问题!
如果孩子有好的学习习惯就不用担心 , 作为家长也要比小学时期多上心,现在初中升高中竞争激烈啊
看看电影:银河辅导班
我们就是小升初的暑假没有好好的预习数学,导致初一的数学很悲催
跟的上别急,我儿子考的时候都没这好,初一都有不及格的 , 担心考不上高中,男孩子到初二开始成绩就明显了 。
不用担心,七年级上册大部分是过渡内容孩子如果说小学数学成绩不错的话应该没有问题 。抓紧计算问题就可以了 。我推荐你买相应初一教材和全解叫孩子暑假先预习一下如果说掌握快的话有理数计算每天刷50-100道 。买一本初中数学知识点清单这个能用三年 。
孩子可以不会,但是一定要标注清楚那里不会 。预习本我想孩子应该会写就不赘述了 。
秒懂知识为您整理更多相关内容。
六年级93分的平均分不算差的 。能不能跟上不是看这个成绩,而是看孩子的学习能力 。我当年小升初的时候也大概是这个分数 , 但是不影响初中的学习 。
如果您实在担心,那么可以试着让孩子提前预习一下,看看孩子的接受力 。预习的方法不难 , 提前看一下课本,试着完成课后练习即可 。如果想深入一点,那么就买本参考书来练习即可 。注意这个参考书是要带有例题和总结那种 , 不是简单的习题册哟 。
一般来说,这个时期的孩子,需要有一定的自学能力了 。而预习就是锻炼孩子的最佳时机 。我建议您让孩子从一个喜欢的科目开始,一般预习2-3个科目为好 。
要想孩子上学之后不用补课 , 做好预习是比较好的 。我建议上了初中之后都采用超前学习的方式 , 因为超前学习了,如果不会,那么上课可以听讲 。如果会了,那么就多刷题 。
其实知识不难,难的是孩子能否静下心来学习 。所以您说的成绩,其实不是主要因素 。因为这个成绩其实不算差 , 虽说不是顶尖,但是绝对不是差生 。现在重要的是培养孩子的学习能力,让孩子能够静心学习 。
当然,除了学习之外,让孩子多参加户外活动也是有益的 。通过体育锻炼来提高孩子的意志力 , 让孩子变得更坚韧 。同时,多给孩子找一些榜样,让孩子找到学习的方向也非常有必要 。在此提醒家长一下 , 尽量不要让孩子接触手机游戏,沉迷手机或者电脑都会严重影响孩子的学习 。而手机 , 绝对是最大的隐患 。
这个完全不必担心 。
我的孩子今年中考 , 完美的考入重点高中,三年前的今天我也在为这个问题忐忑不安着 , 我孩子小学成绩也不好,六年级几乎班级倒数了吧,他们学校素质教育,孩子语数英平均也就最多90分 。
初一上学期期中考试,孩子考到了班级11名,当时我很开心,给他爷爷奶奶姥姥姥爷打电话,那是孩子最好的成绩 。一直以为孩子不是学习的料,一下子考到11名当时的激动现在还记得,从此后我鼓励孩子,孩子的成绩一直稳步上升,初三孩子进入优等生的行列,重点中学年级1800人孩子进入前100名,中考考入我们市里最好的高中 。
小学和初中联系不大,初中学习好不好主要看孩子的学习态度 。他们班也有小学学习非常好的,班级前几名,每次考试几乎都满分的 , 到了初中班级倒数 。所以说小学只要成绩差不多,到了初中好好学就一定能学好 。给一点儿建议,如果孩子英语不好赶紧打算给孩子补英语,英语是和初中联系最大的,我孩子吃了英语的亏,到初三才补,虽然中考英语考了109(满分120),那是我孩子遇到了好老师,并不是每个孩子都那么幸运 。
孩子小学底子差,初一一定要抓紧,课堂最重要 , 给孩子信心,多鼓励,相信您的孩子会在初中取得不错的成绩 , 加油!
- 孩子上学期做了大量的数学试卷,有个很厚的错题本,在暑假里想复习一下,只看错题行吗
- 买了一袋棒棒冰,为什么现在找不到童年吃棒棒冰的那种幸福感了
- 初中数学成绩一直不好,想找辅导班补习,哪家好
- 水是生命之源,一切生命都应该是从水里发展而来,包括人类自己,对吗
- 我左后脚跟骨折70天,拄拐走路有些疼,问怎么办
- 过分在意别人看法的人,过得很堵塞,别人一句话就可以打败你;那过分不在意别人看法的人,会过得怎么样
- 孩子每次做数学题的时候,总是会跳过一些题目不做,问就说太难不会,怎么办
- 为什么中国优秀的声优很少
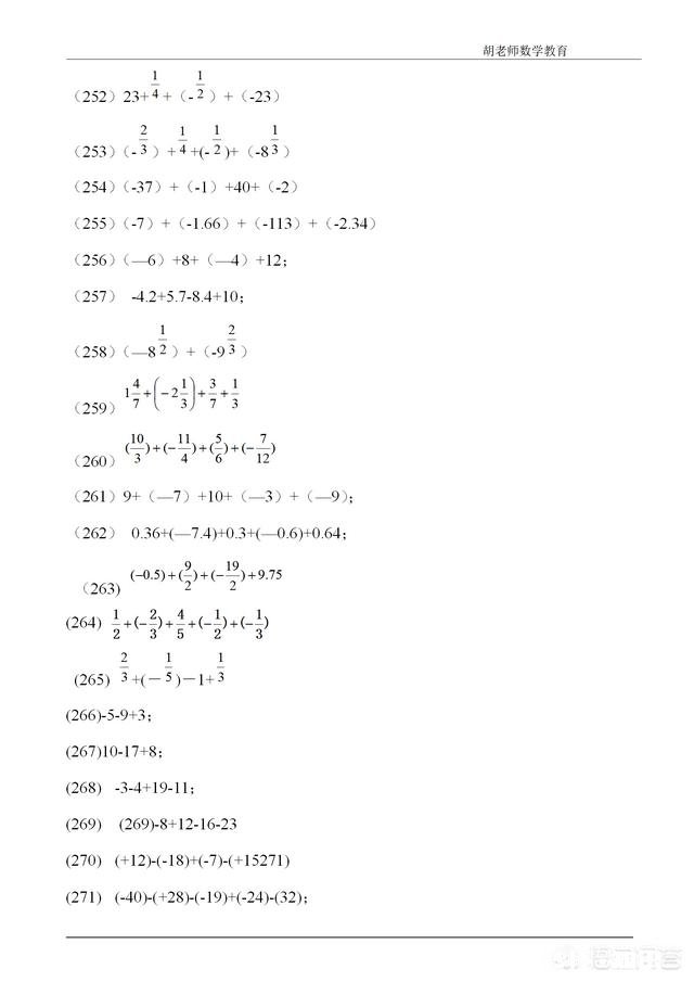
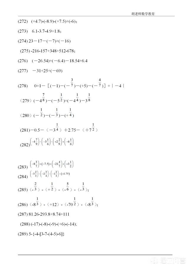
- 个人档案袋中没有毕业生登记表有没有事有什么影响
