40年…!
【以你现在的收入需要多久才能还清信用卡、网贷等各种负债】欠款大概35000 , 全部还清(不吃不喝)需要半年
- dnf中就单件来说,王座本源和超时空属强右槽哪个提升大你怎么看
- 自媒体怎样白手起家
- 请用一句话预测下你当地国庆假期能有多堵
- 生病时应该看中医还是西医呢
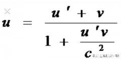
- 当两个物体各自以1/2光速运动,朝对方移动,是否可以认为这两个物体在以光速接近
- 家用代步,威朗和名图哪个好一点
- 传销会不会受疫情影响渐渐消亡
- 和妈妈吵架后有隔阂怎么办
- 普通老百姓家里购买10万左右轿车或SUV哪一款车型比较合适,丘陵地带
