当然不可以了 。在低速领域,人们常用伽利略速度合成公式即可 , 例如两物体各自相对于地球以速度μ′和ν相向而行 , 为了简化公式,这里速度指的是速率,则它们的相对速度为μ=μ′+ν 。但在高速领域,只能用洛伦兹变换下的速度合成公式:

文章插图
其中C为光速 , 当μ′=C/2,ν=C/2时,代入上式得,μ=(4/5)C<C,也就是说它们的相对速度是小于光速的 。
这个结论也符合光速不变原理 , 所谓光速不变原理是指光在真空中的传播速度相对于任何参考系来说是不变的 , 与光源和观察者的状态无关 。光对于任何参考系都是光速,换句话说,谁也超不过光速 。除非像光一样没有静质量,否则任何静质量不为0的物体相对于任何参考系的速度永远不可能达到光速,这其中包括相对于一半光速运动的参考系 。
由光速不变原理推导出来的狭义相对论的一些结论也体现出了光速的不可超越 。比如说质量效应公式

文章插图
其中m为物体质量 , m0为物体的静质量 , V为物体运动速度 , C为光速 。当V→C时 , 分母根式→0,当m0≠0时,m→+∞,物体运动速度如果趋向光速,质量将变的无穷大,为了推动这个物体,需要无穷大的能量,而这是不可能的,因而阻止着物体运动超光速 。
我们都知道不可以这样认为,也不会以光速运动,但有些人即使知道不可以,但心里却无法接受这样的结果,这与我们现实生活中计算速度叠加的方法太不一样了!没办法,这就是绝对时空观与相对时空观的区别,而不幸的是我们一直生活在绝对时空观的观念里,所以很难理解!
在我们的低速世界,计算相对速度很简单,就是利用伽利略变换 , V=V1+V2 。但伽利略变换只适用于低速世界 , 一旦达到亚光速,就必须用洛伦兹变换来计算,因为速度对时空的影响已经非常明显了,不能忽略不计了,亚光速世界上速度叠加公式为:

文章插图
以上公式表明,两个物体无论速度多快,相对速度都不可能达到或超越光速,只能无限接近光速!
【当两个物体各自以1/2光速运动,朝对方移动,是否可以认为这两个物体在以光速接近】有人可能会提出这样一个问题:如果一个物体(甲)以0.8倍光速飞行,另一个物体也以0.8倍光速反方向飞行 , 在我的眼里两个物体不就是超光速了吗?
这是一种诡辩,实际上是对速度的相对性和参照系的选择不理解完成的!速度,必须有一个参照系才有意义,而且不同的参照系之间的对比没有意义!
甲和乙都以0.8倍光速飞行,这里的0.8倍光速显然是相对于你的速度,而你所得出的结论:甲和乙超光速飞行又是相对谁呢?参照系是谁呢?
肯定不是你 , 因为甲和乙相对你的速度是0.8倍光速 , 这是确定的!那么只能是甲和乙相对对方的速度是超光速(假设你说的正确),但问题来了,甲和乙之间的相对速度究竟是不是超光速和你有一毛钱关系吗?甲和乙相对,里面就没有你这个参照系,你来凑什么热闹呢?
于是问题又回到上面的洛伦兹变换,甲和乙相对速度直接套用上面的公式就可以了!
所以,对于相对速度和相对论的不理解,很多是因为参照系的选择出现了混乱,很多人在参照系的不断变换中把自己绕进去了,最终把自己带进沟里无法自拔,但他们自己不知道,反而质疑相对论出错了!
说到速度就需要提到参考系,没有绝对的速度,但是可以通过w=u+v这样的相对速度公式去计算,这样的公式即使到现在也依然适用,但是有一个前提条件,那就是低速世界,这样误差才可以忽略不计 , 但进入到高速世界这样的公式就不适应了 。我们需要用洛伦兹变换对速度合成公式进行修正如下

文章插图
实际上爱因斯坦提出相对论后对经典物理学的大多数公式都进行了修正,在低速世界也就是我们的日常生活中牛顿理论全部都是适用的 。但是当我们进入高速世界,大多数的公式都不能拿过来就用,误差大到不可忽略的程度 。

文章插图
如果通过这个公式进行计算,当两个物体相对以二分之一光速进行运动,u=v=1/2c,最终计算的结果是w=0.8c 。同样的道理如果有两艘飞船相向以0.9c进行运动,那么最终计算的结果如此:

文章插图
所以说通过这个公式进行计算,无论速度的多大最终合成的速度是无限接近于光速,但是永远都达不到光速 。除非这相对运动的是两个光子,那么最终的相对速度依然为光速 。而其他物体因为有静止质量,是无法达到光速的 。
爱因斯坦在光速不变的前提下提出相对论,认为信息的传递速度不可以超过光速,有静止质量的物体达不到光速,从爱因斯坦提出这个理论开始就有很多的人在试图找出超光速的例子,但目前为止都没有成功 。可以超光速的只有宇宙的膨胀速度,但是宇宙膨胀的是空间 。除此之外量子纠缠的速度也是超光速的,但是并不能传递信息 。

文章插图
在“伽利略变换”中,如果我们利用速度叠加来计算相对速度V=V1+V2,这样乍一看问题,我们就会想当然的认为这两个物体在以光速接近 。然而事实并不是这样!
在物理学中我们会想起爱因斯坦的相对论,光速是无法超越的 。在人类的意识中,光速不可超越已经成为了一种常识,连科学家都无法改变 。
爱因斯坦也表示过,一个有质量的物体无法达到光速 , 只能无限接近 。而且在宇宙中 , 最快的速度就是光速 。
为什么光速不可超越?
其实爱因斯坦的质能方程就已经说明了一切,在质能方程E=MC2,E 是代表着一个物体所拥有的能量,而M以及C 分别是代表着物体的质量以及光速 。通过公式我们就会发现物体的能量与质量成正比 , 还有最关键的一点就是处于运动状态的物体都是拥有动能的 。
那就是说,当一个物体处于运动状态时,它的质量其实略大于静止时的状态质量 , 就是说如果一个物体想要超越光速,那么这个物体不仅要拥有足够大的质量,还要有很大的能量 。
打个比方说,宇宙飞船在速度上要想达到光速的90%,那宇宙飞船运动时的动质量就会相当于两倍静止时的质量,这个时候宇宙飞船需要更多的燃料,速度更快,需要的能量也会无限增加 。
所以说光速不可超越 。
接着我们回到问题当中来,以光速的二分之一运动,就必须以亚光速世界里的洛伦兹变换公式w=(u+v)/(1+u·v/c^2)来计算 。
所以当u=v=1/2c时,得出的结果是w=0.8c,所以当两个物体以光速的二分之一相向运动是无法达到光速的 。
可以 。请看以下视频 。
https://www.ixigua.com/7044566594541847047?logTag=d76102a3d8140a5bda19
百分百是——因为是C,不可改 。
宇宙不系列七:光速不可改 。
光速不可改,光速不二速 。
导读,上篇:相对不实对 。相对论描述过去与现在的时空关系,核心——相对 。
本篇:光速不存在直线加速度 。
上:惯性不思辩,思辩不惯性 。
一、光速不可变——光速不叠加 。
光速不变原理,是狭义相对论的核心 。太阳星星在旋转,每一瞬间,总有一侧靠近 , 另一侧远离我们 , 太阳星星发光,如果初始光速与光源运动速度叠加 , 那么将是一侧的光先到,另一侧后到 , 两侧之间的介于之间到达,那么,将看到椭圆型的太阳、长线条的星星;同理 , 地球自转,上午,我们靠近太阳,阳光将到得快些,下午,我们远离太阳,阳光将到得慢些 , 那么将会发现太阳上午将比下午升得快 。然而,看到的却是:圆盘太阳,点状星星 。
均匀介质中测量光速无特殊方向差别 。光速与光源运动、观测者运动无关 。
光速不变原理——光速不可叠加 。
二、观察不直接——光速不瞬达 。
星星太阳 , 目前只能遥望 。人造飞行器尚未飞出太阳系,我们只能用光——电磁波来观察远方宇宙星空 。电磁波有传播速度——光速不瞬达,看到的总己过去,距离意味着存在观察时间差,观察得越远,越是过去,距离百亿光年之外,我们只能看到百亿年前的事件 , 如今怎样,我们处在光锥之外,最快的光得百亿年之后才能到达 。
距离得用时间来跨越,光速是道坎 。
观察都不直接——光速延迟效应 。
三、同时不同地,运动不同时 。
思想实验一:在火车上 , 车尾A点,中间O、C点,车头B点,O光亮灯O1,AB看到灯亮,瞬间也亮灯A1B1,O看到A1B1灯亮,再亮灯O2 。O看到,O1亮—A1B1同时亮—O2亮 。A看到,O1亮—A1亮—B1O2同时亮 。B看到,O1亮—B1亮—A1O2同时亮 。更糟糕的是 , 火车前进中 , 在站台上与O1点对应的C点,看到的却是,O1亮—A1亮—B1亮—O2亮 。
ABOC四者,对同时性的认识均有不同 。
运动中不同时——认识不能一致 。
惯性思维自己占理,仔细思辨不占理 。
下:成见不真理 , 真理不成见 。
一、惯性系相同,速度不协变 。
两物体各以1/2光速相向运动 , 合速度是否光速?据题意,各1/2光速 , 指的是同一惯性系下的相对速度,其合速度直接相加,即为C 。参照系始终相同,不需洛仑兹变换 。承认2/3C+2/3C=4/3C,宇宙才能有超光速膨胀 。
二、惯性系不同,观察相协变 。
O看相向运动AB,速度均以V=1/2C靠近,在A看来,O以-1/2C靠近,B是以VB=2V/(1+V2/C2)=4/5C靠近 。惯性系不同,再用洛仑兹变换不迟 。需要说明的是,在O看来,AB之间相对速度为C,之所以与A看B的结果不同,那是在A看来,O的钟变慢了 , TO=TA√(1-V2/C2) , 距离XO=(XA+VTA)/√(1-V2/C2),O的量距离的尺缩了,距离变长了,协变之后的结果,光速不变 。在A看来,OB速度为4/5C-1/2C=3/10C,A计算O看到的OB速度为:(4/5-1/2)C/(1-(1/2)*(4/5))=1/2C , 对头 。
三、距离不真实 , 时间不真切 。
欧几里得几何,三维空间——欧式空间——ds2=dx2+dy2+dz2 。闵可夫斯基将时间融合进空间 , 构建了四维时空——闵式时空——ds2=dx2+dy2+dz2+(iCt)2 。过去与现在之间存在距离x=Ct,ds不变,将时间与空间联接 。对于惯性系之间,运动方向之dx1=x1+Vt1,代入闵式时空,可得洛仑兹变换及各种变换的物理意义 。闵式空间基于光速不变 , 其结果是让爱因斯坦发现钟慢尺缩质增狭义相对论——让科学界放弃绝对时空——时间、距离不真实真切——相对的 。
四、光时不相异,等距时相同 。
骑马找马——马在跨下,爱因斯坦骑光追光,光速不变 。将质量物质统统拿掉 , 只剩下光,在光光的世界里,所有相对速度均为光速 , 光阴依旧,时间流逝再无相对差异 。将质量物质统统静止 , 去除了光,在静静的世界里,所有相对速度均为零速,光阴依旧 , 时间流逝再无相对差异 。时间 , 在无处不在的光之点看来,处处一样,等速流逝 。距离,在虚拟等距的第三者看来,两端等时 , 同速同时 。任意两点空间之间 , 同一瞬间,同时同刻,与速度无关 。与速度有关的是,你看我钟慢,我看你钟慢,慢得一模一样 。其实,跟随自己的钟最快——还到处都一样快 。真理无处不在,真理在身边 , 自己的看到的,钟慢、尺缩统统是成见,自己经历的时间才是真实与宇宙同步的 。相对论之所以相对,因为相对——非绝对——时间、距离 。
五、光速不加速 , 光速不减速 。
利用玻璃、水、空气等透明物质,以及镜子来观察可见光的路径 , 人们发现了光直线传播、光的反射、折射、衍射、干涉、偏振、频谱等等 。可见光穿过不同均匀介质,仅在界面处产生折射现象,入射角与折射角的正弦值之比,与前后光的传播速度比等同,与后前介质折射率之比等同 , sinθ1/sinθ2=v1/v2=n2/n1=n21 。光的传播速度只发现在介质变化处突发改变,光穿越不同介质,一旦回到原来的介质中,光的传播速度立马恢复原值 , 与中间介质无关 。常见的可见光穿越透明均匀介质过程中 , 从未发现光速有改变,介质的厚薄与光的传播速度无关——介质本身不改变光的传播速度——介质对光不加速也不减速——光没有加速度 。
六、光速不等于——光传播速度 。
光 , 我们先认识可见光 。我们普遍看到的光多数来源于光的散射,直射光时间看长了受不了 。在不同介质中 , 光的传播速度不同,在水中 , 约为空气中的3/4,在玻璃中,约为空气中的2/3,光之所以能穿越水、玻璃,在于水、玻璃不吸收光,科学地说,水、玻璃中的原子中的电子基本上不改变光,更科学地说 , 介质中电子与光产生光电效应,电子在光的作用下,不断跃迁又回落,电子不断吸收特定波长的光又释放,其间光走累了,经常被留下休息了会,光的传播速度总体上降低了——其实,光速——光的瞬时速度不未改变,改变的是总体传播速度 。光的波长与频率乘积是常数C,科学界用波长或频率来分辩光谱,波长大长了测不到的测频率,频率高了难分辩的测波长,无论在地球上,还是在卫星上,无需考虑参照系问题 , 任意参照系下,光速C,不可变 。
真理相对性,成见总翻篇,抛弃成见更真理,光速——光的瞬时速度不可变 。
结论:光速不可改,光速不二速 。
stemmer原创,保留版权,转载注明 。
预告,宇宙不系列八:光不走直线 。
看来没人回答得完整 。这个问题的关键是你站在哪里观察!你说有两个物体,而且你看到两个物体了,这里就必须有第三位置去观察两个物体 。所以有三个观察位置:两个物体和第三位置 。如果你站在两个物体其中之一 , 那么你会认为自己不动,而观察到另一个物体向你接近,接近速度是小于光速,计算公式是(u+v)/(1-uv/c2) 。如果你是站在第三位置观察这两个物体,而同时这两个物体相对于你的速度都是0.5c且方向相反(这更符合你的题意),所以按你的观测结果是两个物体相对速度是1c 。说到这里有人会反驳,如果两个物体各自0.8c相对而行,岂不超过光速?是的 , 在第三位置观测的确是1.6c,但这无碍于“不能超光速信息传递”这个的假设,因为你站在第三位置,并不能为两个物体提供超光速信息传递 。而那两个物体之间呢?我刚才讨论过了,如果你站在其中一个物体观察另一个物体,那个速度是小于光速的,所以两个物体之间也不能实现超光速信息传递 。
注意了,不是不允许超光速现象 , 是不允许超光速信息传递现象 。
可以认为这两个物体在以光速接近 。事实上 , 物体在加速运动的过程中质量会增加,会吸收周围的波子 。
什么是波子?波子是波动哲学研究的最小粒子,所有物体都是由波子组成的 。物体的质量是物体所包含的波子的数量 。所有的波子在几何形状相同的情况下性质相同 。光、信息、作用力通过每一波子的时间相等 。所以,光速与光源的运动无关,只与波子的直径成正比 。波子的直径越大 , 加速度越大,自由度也就越大 。所以 , 物体之间充满了连续存在的自由波子 。在真空中,波子的直径最大,自由度最大,密度最小,光速最快,单位空间物质最少 。所以,物体低速运动感觉不到自由波子的阻力 。
当然不是 。当物体以1/2的光速运动,其上的时间参考系已经发生了变化,因此看到的对方并不是以光速靠近自己
不对,不过这可以解释为啥130亿年的宇宙有900光年的直径
看洛伦兹变换就好了 。低速可以近似作相对速度,接近光速就是另一回事 。
速度越快,牛顿定律越不适用 。。
就理论物理而言,倘若“大统一理论”未破,那么在“大统一理论”门口,之前所有的物理学家都是零起点 。
所以不好再去盲目吹捧旧物理 。
秒懂知识为您整理更多相关内容。
牛顿理论
关于“速度”,我们都要先选定参考系,讲清楚具体是以谁为观测者,才能谈具体的速度是多少 。如果两个物体都相向运动 , 那如果取它们当中任何一个物体为参考系,其实结果是一样的 , 在牛顿的世界观下,我们很容易直接把两个速度进行加和 。

文章插图
举个例子,如果有两个人a和b , 他们的速度远小于光速,假设就都是10m/s吧 。那这个时候,相对于a而言,这个b的速度就是20m/s 。这就是初中物理,甚至可以认为是小学数学的路程问题 。
那这里有没有问题呢?
实际上有 , 这里是用到的牛顿的运动学理论,用的也是牛顿的世界观 。而这套理论只有在宏观低速下才成立,速度越接近光速,误差就会越来越大 , 所以,事实上速度不是这样简单叠加的 。

文章插图
双方的速度都远小于光速,因此可以忽略相对论效应,直接进行求和即可 。但是不考虑相对论相应 , 并不是说没有,只是如果带入进去算 , 就会发现 , 用相对论得到的结果只在小数点后15位才有微小的不同 。所以 , 我们说牛顿理论是相对论在宏观低速下的近似解 。
相对论
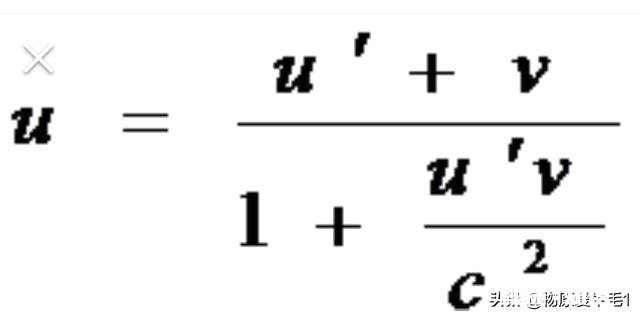
当物体的速度快到1/2的光速时,它已经不属于宏观低速尺度下的运动学问题,相对论效应会发生十分明显,如果还用牛顿理论就会有问题 。通过牛顿的理论,我们计算会得到这个速度是光速 。
但这个时候,我们用相对论的速度公式,也就是下面这个公式:

文章插图
把速度带入求解,就会得到v=0.8c,也就是0.8倍的光速 。这和牛顿理论得到的结果差了20% , 这其实就是相对论效应造成的结果 。
其实如果a和b的速度都达到0.9倍的光速,这时候 , 我们再带进去算 , 就会发现 , 牛顿理论得到的是1.8倍光速,而相对论求解得到的是0.9944倍光速 。这两个理论求出来的结果相差了快一倍 。所以,我们很容易下这样的结论,越接近光速 , 相对论效应越明显,此时牛顿力学的误差就会越大 。所以,当相向运动的两个物体达到1/2光速时,不应该再用牛顿理论来求解,而是用相对论来求解 。
光速真的是不可超越的么?
而相对论是基于光速不变原理以及伽利略变换推导出来的 , 客观地说,由于基础假设就已经设定了光速不变原理,而且进一步推导可以得到物质、信息、能量是不能超光速的 。因此,无论我们如何拿相对论进行求解,得到的结果都不可能超光速 。所以,我们不免容易陷入循环论证 。甚至有些人会提出难道光速真的是不可超越的么?
实际上 , 光速是可以被超越的 , 宇宙空间的膨胀速度就是超光速的,光速不可被超越是指物质、信息、能量的传递 。这是基于人类一直以来对于光学的探索得到,尤其是在19世纪末,20世纪初,一些学者通过各种办法去测光的传播介质:以太 。结果他们得到实验结论就是测不到,比如:迈克尔斯莫雷实验 。

文章插图
原本以太就是假设出来的 , 如果测不到,只能说明并不存在 。于是 , 爱因斯坦砍掉了以太,认为光不需要传播介质,并提出相对论 。

文章插图
但是爱因斯坦相对论到底这么做对不对,实际上是需要通过实验来证明的 。好在这个一百多年的理论经受住了考验,我们不仅找不到超光速的信息传递,还有相对论的一个个结论和预言都被我们所证实 , 比如:黑洞、引力波 。

文章插图
相对论其实提供了证伪的办法,那就是找到超光速传递信息的事件 , 由于它对于现实的拟合简直太完美 , 因此再没有发现超光速传递信息的事件之前,相对论都会是主流的物理学理论 , 没人能够撼动 。

文章插图
在迈克尔逊莫雷实验中最后两道光线重合 , 波在相同位置状态的环境中传播速度能不相同吗?迈克尔逊莫雷实验就像是去测试一个人和自己的影子在同一条路上移动的速度是否相同,请问如果在地球上人和自己的影子移动速度相同,能推出什么相对论呢!
波的传播速度只与介质的温度密度等物理状态有关,与介质的运动速度无关 。支持相对论的人连初中物理知识都无法理解 , 他们凭什么能理解相对论呢?
皇帝新衣的骗局很多人有看过吧!这个骗局如果不先推翻看不见新衣的人是愚蠢的,愚蠢的人不能证明新衣不存在的 , 是无法证明新衣是不存在的 。在皇帝新衣骗局中骗子毫无根据的推出了“看不见新衣的人是愚蠢的,愚蠢的人不能证明新衣是不存在的”这个原理,一群人进行推波助澜,把这个原理传播成真理 。
相对论跟皇帝新衣骗局相似,先用一个没有意义的迈克尔逊莫雷实验来证明光速不变原理,在光速不变原理的基础上推论出相对论这个数字游戏 , 然后一群人在这个数字游戏中沉迷了,如果把光速不变原理当成了真理 , 就无法证明相对论是错误的 。那声速不变原理是真理吗?迈克尔逊莫雷实验结果有必要解释吗?在迈克尔逊莫雷实验中最后两道光线重合,波在相同位置状态的环境中传播速度能不相同吗?迈克尔逊莫雷实验就像是去测试一个人和自己的影子在同一条路上移动的速度是否相同,只有白痴才会认为是不相同的 。
不相信相对论是谬论的,可以去看看搜狗百科“光速不变性”,在“光速不变性”中相对论可以说是一文不值 。一文不值就是真正的官科对相对论的评价,在口口声声称呼别人是民科的假官科眼中相对论是无价之宝 。
- 生病时应该看中医还是西医呢
- 家用代步,威朗和名图哪个好一点
- 传销会不会受疫情影响渐渐消亡
- 和妈妈吵架后有隔阂怎么办
- 普通老百姓家里购买10万左右轿车或SUV哪一款车型比较合适,丘陵地带
- 《白夜追凶》已经9.1分了,大家觉得分数合理吗
- 小奶猫几个月能长好毛
- 微商产品什么最火
- 买车买7座还是5座好
