中国物理学界近些年最接近诺贝尔奖的工作应该说是2013年薛其坤老师的研究组发现的反常量子霍尔效应 。
【近年来中国科学界各领域最接近诺贝尔奖的学术成果是什么】什么是反常量子霍尔效应呢?其实在霍尔效应领域发现了一系列的现象,它们包括:正常霍尔效应、反常霍尔效应、量子霍尔效应(包括整数量子霍尔效应和分数量子霍尔效应)以及反常量子霍尔效应 。
我们用图示的形式来看看各种霍尔效应都会出现什么样的现象 。
正常霍尔效应正常霍尔效应是霍尔于1879年发现 。如果我们沿竖直方向给一块金属样品加一个磁场,沿纵向加一个电场,那么我们会在横向测量到一个电压,这就是经典的霍尔效应图像 。它可以很好地被经典的电磁学理论所解释 。

文章插图
图1. 经典霍尔效应的实验示意图

文章插图
图2. 随着磁场增加霍尔电阻率逐渐增大,而正常电阻率保持不变
反常霍尔效应反常霍尔效应是在一些铁磁性的金属中测量霍尔效应发现的 。它与正常霍尔效应的不同之处在于,它的霍尔电压可以大1~2个量级,并且在足够大的磁场之后区域饱和 。

文章插图
图3. 金属Ni的反常霍尔效应
量子霍尔效应如果我们选取的样品比较合适,在低温强磁场下进行测量时可能会出现量子化的霍尔效应,它的霍尔电阻是量子化的,我们可以从下图看出来 。

文章插图
图4.量子霍尔效应的量子化平台
每个量子化的平台都对应于一个数 , 它显示了这个平台于电阻量子的比值 。如果这个值是整数,对应的就是整数量子霍尔效应,如果是分数,对应的就是分数量子霍尔效应 。
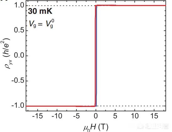
反常量子霍尔效应可以看出,正常量子霍尔效应的实现需要一个足够强的磁?。?但如果我们不加磁场或者加一个很小的磁场就可以观察到量子化平台,这就对应的是反常量子霍尔效应 。这是反常量子霍尔效应的一个最简单的图像 。

文章插图
图5. 在极低温下观察到的反常量子霍尔效应
- 为何学习、欣赏书画艺术
- 加盟奶茶店之后,该如何进行经营
- 单字写好了,如何处理整体
- 安徽美术2019统考333分,文化预估多少分才能上二本艺术院校
- 如何选择一个事业型的男人或者是创业型的老板
- 现在的中医怎么样
- 楷书是学习书法的基础吗
- 现在高二,二本线,还有办法提高吗
- 我是高一学生,到底要不要学美术呢文化科成绩不是很好
