通性通法,就是具有规律性,普遍性的解题方式或解题方法、数学思维 。往小了说可以应用到解题技巧,往大了说适用于建立数学模型 。
我们初中教学所用到的一般的通性通法主要有:分类讨论,数形结合 , 数学建模,类比推理,方程函数,递推归纳 。
坦率的讲 , 想要养成这种数学思想是不容易的 。
首先 , 需要大量的课业积累,没有浩瀚的基础知识,是不可能有效总结出类型题的解题方式的 。
其次,勤于思考 。可以用到哲学的理论联系实际 , 建立模型解题,也可以用到联系的观点看待问题,只要看到成比例不论线段,角度,面积等等都可以通过设未知数解方程,来求解 。再次 , 多查资料,深挖知识点,老师所做的题和精力是有限的,而题海无涯 。这就需要站在前人的肩膀上,学习探究,总结归纳 。
最后 , 多与同行交流 。同一题不同人的解题方式可能不同,思维的碰撞能产生火花,也能激发灵感,相互学习进步 。
ps:一般来讲中考题的后两题都是通过类比归纳,数学模型求解的,其实不难,只要找到解题规律就可以逐个击破 , 可以关注老师哦 。
秒懂知识为您整理更多相关内容。
感谢对我的邀请,下面我就“通性通法”,发表一下我自己的见解 。
我认为,通信就是通常的性质,通用的性质 , 或者是共同的性质 。同样的,通法就是通常的方法,通用的方法或者一类题共同的方法 。
举一个例子,最近我看到了一个求三角函数的题目 。
对于三角函数,通用的方法 , 我感觉应该有两种,一种就是直接的求法 。也就是,我们根据定义 , 在直角三角形中 , 用边之间的比例关系求 。另外一种方法就是间接的求法 , 也就是说,当角(∠1)不在直角三角形中的时候,如果有一个角(∠2)和它相等,并且还在直角三角形中,那么我们就可以求第二个角(∠2)的三角函数 。
下面请看范例中的通性通法的体现:

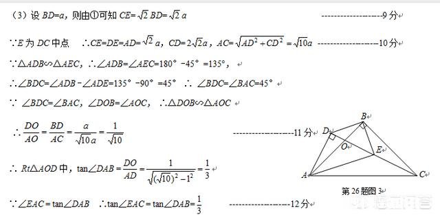
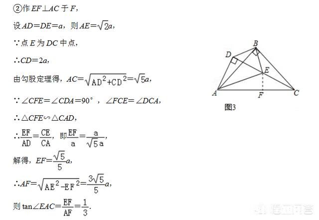
文章插图

文章插图

文章插图

文章插图

文章插图
【老师强调:通性通法是学好数学的根本,它是什么意思,又怎样才能养成这个习惯呢】在回答这个问题之前 , 先回答另一个问题,有学生经常问我,初中学习这些数学知识有什么用呢?如果不读高中的话,是不是可以不学了?
我是这样回答他的:“初中阶段所学习的所有数学知识,多数在若干年后会忘记干净,但是忘掉之后剩下的,就是你学习数学的意义 。”我知道以他的阅历 , 还不太能明白我的意思 。所以有必要再解释一次 。
数学知识的学习,是需要一个不断增进的过程 , 和武侠小说中练武一样,一层层往上练,某一层没练好,硬是到不了上一层 , 这期间还需要打通关节之类的 。在学习数学的过程中,我们经历的那些困难,以及解决困难的经历,就是学习数学的意义 。
回到题主的问题上来 , 通性通法是什么?用现代的话语,可称为核心素养 , 数学核心素养提升了,数学肯定是学好了 。我们不把太专业的词汇放上来,通俗点讲,所谓通性通法,第一个是意志品质,即不怕困难,不轻言放弃 。尤其是遇到难题 , 是坚持思考,还是不写了;第二个是规范思维和规范解题 , 任何数学概念和技能,都要按一定规范进行,例如几何证明书写格式等 , 在七年级我特别强调规范性,作图要用铅笔和直尺,打草稿要从左至右 , 从上至下,这些细节做好了,收获的不仅仅是整洁的作业 , 而是规范的思维;第三个是反思习惯 , 数学学习难免会犯错,会疑惑,这都不要紧,请教老师或同学,听明白后,接下来的行为就是区分学霸的时候,会反思,将别人讲的东西消化成自己的 , 就是学霸,而扔到一边,结果是讲了就会 , 不讲就不会,或者讲过的题目,过一段时间又不会 。
无论哪类数学题,都有多种思考角度,相应的也就各种解法,但以上三点做好了,数学的提升指日可待,这便是通性通法 。
- 高质量的一胎和低质量的多胎,你会选择哪个
- 当孩子遇到难题时,父母要给孩子简短明晰的建议吗具体如何去做
- 在人类以前,哪些物种曾经处于食物链的顶端
- #暖暖的胃道#为什么越来越多的人不喜欢吃鸡肉了
- 马上到中秋节了,大家都来说说你们当地都喜欢吃什么馅的月饼
- 80后女人为谁而活
- 3万块钱能用一星期,有什么100%保本的理财吗
- 科目二的倒车入库如何快速学会
- 初中语文学不好怎么办
